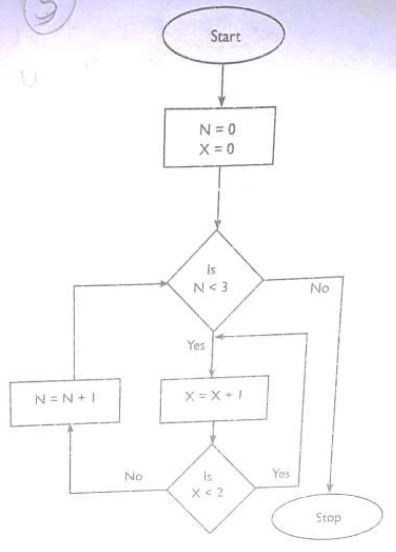
Draw a flow chart that was used to come up with the following pseudocode.
Start
N=0
X=0
While n<3
Repeat
X=X+1
While X<2
N=N+1
End while
Stop


Answer:

computer-studies-revision-questions-25-09-2021-0501.JPG


Share To Friends Via:
        






More Questions For Computer Studies:



  State four ways in which a computer user can protect the eyes from damage caused by computer radiation. (Answered)
State four ways in which a computer user can protect the eyes from damage caused by computer radiation. .
Posted On:Wed 10, March 2021 22:02:16 pm
  Give the key combination for warm booting a computer. (Answered)
Give the key combination for warm booting a computer. .
Posted On:Wed 10, March 2021 22:03:40 pm
  State two possible dangers of shutting down a computer improperly. (Answered)
State two possible dangers of shutting down a computer improperly. .
Posted On:Wed 10, March 2021 22:05:38 pm
  Mention three possible ways of warm booting a computer. (Answered)
Mention three possible ways of warm booting a computer. .
Posted On:Wed 10, March 2021 22:06:59 pm
  Define peripheral devices and give examples. (Answered)
Define peripheral devices and give examples. .
Posted On:Wed 10, March 2021 22:14:42 pm
  Name three computer storage devices. (Answered)
Name three computer storage devices. .
Posted On:Wed 10, March 2021 22:15:46 pm
  List three uses of computer in entertainment. (Answered)
List three uses of computer in entertainment. .
Posted On:Fri 12, March 2021 21:06:16 pm
  Differentiate between job replacement and job displacement and relate to computerization of organization. (Answered)
Differentiate between job replacement and job displacement and relate to computerization of organization. .
Posted On:Fri 12, March 2021 21:07:27 pm
  Describe the process of cold-booting a computer. (Answered)
Describe the process of cold-booting a computer. .
Posted On:Fri 12, March 2021 21:08:25 pm
  List any four differences between the present computers and the pre-electronic age computers. (Answered)
List any four differences between the present computers and the pre-electronic age computers. .
Posted On:Fri 12, March 2021 21:10:30 pm
  List three factors that might have been considered when setting aside the room for computer laboratory. (Answered)
List three factors that might have been considered when setting aside the room for computer laboratory. .
Posted On:Fri 12, March 2021 21:18:45 pm
  State and explain three behaviors that should be avoided in a computer laboratory. (Answered)
State and explain three behaviors that should be avoided in a computer laboratory. .
Posted On:Fri 12, March 2021 21:20:23 pm
  List any three embedded computers. (Answered)
List any three embedded computers. .
Posted On:Fri 12, March 2021 21:21:11 pm
  Give one application of a floppy disk. (Answered)
Give one application of a floppy disk. .
Posted On:Fri 12, March 2021 21:21:48 pm
  State four precautions that should be taken when handling a diskette. (Answered)
State four precautions that should be taken when handling a diskette. .
Posted On:Fri 12, March 2021 21:22:55 pm
  Give three ways in which computers are used in the health sector. (Answered)
Give three ways in which computers are used in the health sector. .
Posted On:Fri 12, March 2021 21:25:07 pm
  What is a mouse? (Answered)
What is a mouse? .
Posted On:Fri 12, March 2021 21:28:06 pm
  Describe the following mouse actions. (Answered)
Describe the following mouse actions. .
Posted On:Fri 12, March 2021 21:29:17 pm
  Explain how a cordless mouse works. (Answered)
Explain how a cordless mouse works. .
Posted On:Fri 12, March 2021 21:30:05 pm
  Outline the procedure for shutting down a computer. (Answered)
Outline the procedure for shutting down a computer. .
Posted On:Fri 12, March 2021 21:30:54 pm
  List three precautions that should be taken when laying cables in a computer laboratory. (Answered)
List three precautions that should be taken when laying cables in a computer laboratory. .
Posted On:Fri 12, March 2021 21:31:44 pm
  Define peripheral devices. Give any two examples. (Answered)
Define peripheral devices. Give any two examples. .
Posted On:Fri 12, March 2021 21:32:41 pm
  Name the generation of computers that used the following devices for the first time. i)Floppy disk ii)Optical disk iii)Voice recognition devices iv)Monitor. (Answered)
Name the generation of computers that used the following devices for the first time. i)Floppy disk ii)Optical disk iii)Voice recognition devices iv)Monitor. .
Posted On:Fri 12, March 2021 21:33:36 pm
  Mention four ways of preventing dust accumulation in a computer laboratory and on computer systems and equipment. (Answered)
Mention four ways of preventing dust accumulation in a computer laboratory and on computer systems and equipment. .
Posted On:Fri 12, March 2021 21:34:48 pm
  Differentiate between the home and end keys on the keyboard. (Answered)
Differentiate between the home and end keys on the keyboard. .
Posted On:Fri 12, March 2021 21:35:58 pm
  Give a short description of three types of microcomputers. (Answered)
Give a short description of three types of microcomputers. .
Posted On:Fri 12, March 2021 21:37:19 pm
  Classify the computers that are used to control air traffic in the airport. Explain your answer. (Answered)
Classify the computers that are used to control air traffic in the airport. Explain your answer. .
Posted On:Fri 12, March 2021 21:38:40 pm
  Who was referred to as ‘the father of modern computers’ and why? (Answered)
Who was referred to as ‘the father of modern computers’ and why? .
Posted On:Fri 12, March 2021 21:41:01 pm
  State two ways in which computer is used in floriculture. (Answered)
State two ways in which computer is used in floriculture. .
Posted On:Fri 12, March 2021 21:42:51 pm
  Why is it not advisable to run into and out of a computer lab? (Answered)
Why is it not advisable to run into and out of a computer lab? .
Posted On:Fri 12, March 2021 21:45:17 pm

More Questions Categories: