Click to follow our Afritutor YouTube Channel, subscribe and click notifications and get updates on new learning videos


<=Back

<=KNEC Craft Certificate in ICT module 2 structured programming past paper: November 2019

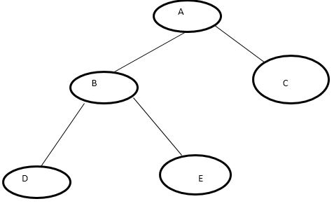
Figure 1 shows a binary tree. Use it to answer the questions that follow.
binary-tree.JPG
i)Identify each of the following nodes from the binary tree.
a)Leaf node
b)Root node
ii)State the output when each of the following traversals are performed on the tree;
a)Inorder;
b)Pre-order


    Viewed:  968  times
For Better experience and learning,for video answers, after video ends playing, click next question in the questions list!!!

  Share in:
        

Question Answer:





Questions List:

1. Outline four types of format specifiers used in a C program
2. Outline three characteristics of global variable in a program
3. State three characteristics of a real constant in a C program
4. Outline three advantages of a high level programming language
5. Andrew used array data structures in his program. Outline two disadvantages he is likely to face from using this data structures
6. Outline one reason that could necessitate the use of each of the following function in C programming: a)malloc(); b)void()
7. Write a C program that would accept a number through the keyboard. The program should then determine the square root of the number and display it on the screen
8. Amindi intends to name some variables in a C program. Outline three rules he should observe
9. Describe each of the following tools as used in programming: i)Decision table; ii)Flowchart.
10. Distinguish between a string constant and a character constant as used in C programming
11. Outline three types of operators that may be used in C programing language
12. Maureen, a programming student, opted to use structured programming language to write a program. Outline three advantages for this approach
13. Outline three reasons that necessitate an organization to perform adaptive software maintenance
14. Figure 1 shows a binary tree. Use it to answer the questions that follow. i)Identify each of the following nodes from the binary tree. a)Leaf node b)Root node ii)State the output when each of the following traversals are performed on the tree; a)Inorder; b)Pre-order
15. Marian intends to write a program that would be used to sort records in a file. Describe three types of sorting techniques she is likely to apply
16. State the function of each of the following file commands as used in C programming. i)getc() ii)fputc() iii)scanf()
17. Ali used a programming approach to design a system. Describe two approaches that he may have used
18. Describe each of the following types of programming testing: i)Integration testing. ii)System testing.
19. Maggi would like to write a program using pointers. Explain two types of operations that she would use in this program
20. State two examples of each of the following types of function libraries: i)Mathematical; ii)File input/output
21. Explain the function of each of the following in a C program: i)Comment line; ii)Pre-processor directive.
22. A student adopted the use of functions to write programs in C programming. Outline three benefits of this
23. Write a C program that would accept the radius of a circle through the keyboard. The program should then compute the area of the circle and display the results on the screen
24. Outline two uses of a pointer in a C program
25. Jane documented a program she developed using a C programming language. Outline three benefits of this documentation
26. With the aid of a diagram, describe a while loop as used in C programming
27. Write a C program that would read numbers and compute the average of the numbers. Use a for loop statement.
28. Distinguish between w+ and a+ as used in C programming
29. Explain the function of each of the following statements as used in a C program: i)Go To; ii)main() iii)#define()
30. Write a C program that accepts two numbers through the keyboard. The program should then use a function to compute the sum of the two numbers