Click to follow our Afritutor YouTube Channel, subscribe and click notifications and get updates on new learning videos


<=Back

<=KNEC Craft Certificate in Electrical and Electronics Engineering(Power Option) Module II : Industrial Machines and Control Past Paper July 2019

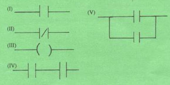
State the meaning of the following symbol used in PLC ladder programming
symbols-of-PLC-222111.JPG

    Viewed:  550  times
For Better experience and learning,for video answers, after video ends playing, click next question in the questions list!!!

  Share in:
        

Question Answer:





Questions List:

1. State the function of each of the following in a d.c machine: (iii) Stator; (iv) Rotor.
2. Explain the need for motor enclosures
3. Name two types of motor enclosures
4. Outline the sequence of lining up a belt-drive between two machines
5. Draw a labeled diagram of a three-stud d.c plate starter
6. Explain the function of: (I) Thermal Overload Coil (II) No-Volt Release Coil
7. Compare induction to synchronous motor with regard to the factors indicated in table below
8. Draw a labeled diagram of a pony motor method starting a three phase synchronous motor
9. Explain the procedure of reversing a three phase motor rotation
10. State two methods of speed control for a three phase induction motor
11. State three tests carried out on a motor control panel upon installation
12. List two outputs devices used in programmable logic controllers (PLC).
13. State the four stages of operation of a PLC
14. State the meaning of the following symbol used in PLC ladder programming
15. Draw a labeled Torque versus armature (curve) characteristics for a d.c series motor
16. State two applications of the shaded pole single phase induction motor